Notice
Recent Posts
Recent Comments
Link
| 일 | 월 | 화 | 수 | 목 | 금 | 토 |
|---|---|---|---|---|---|---|
| 1 | ||||||
| 2 | 3 | 4 | 5 | 6 | 7 | 8 |
| 9 | 10 | 11 | 12 | 13 | 14 | 15 |
| 16 | 17 | 18 | 19 | 20 | 21 | 22 |
| 23 | 24 | 25 | 26 | 27 | 28 | 29 |
| 30 |
Tags
- 스파게티
- 소호정
- codejam
- 양재맛집
- 스테이크
- 파버스
- RED CAT COFFEE X LOUNGE
- 고양이는 언제나 귀엽다
- 파머스테이블
- 냥이
- 냥냥
- 레스토랑
- 부모님과
- 소호정본점
- 카페
- 고양이
- CDJ
- 먹기좋은곳
- 데이트
- 치명적 귀여움
- 발산맛집
- 발산
- CodeJam 2017 Round 1B
- coffee
- A. Steed 2: Cruise Control
- 스코티쉬 스트레이트
- 냥스토리
- 안동국시
- 발산역 근처 카페
- 커플
Archives
- Today
- Total
hubring
Multi-variable linear regression 본문
[참고] 모두를 위한 딥러닝 - 기본적인 머신러닝과 딥러닝 강좌
하나의 변수가 아닌 여러개의 변수를 이용하여 선형 회귀하는 방법을 알아보자.
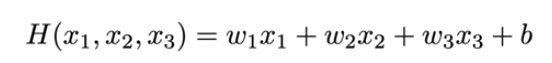
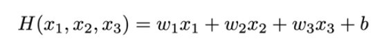
Hypothesis

Cost function

Matrix
- 위 식으로 하면 많은 인자를 나열하기 힘들어짐..
- 집합의 곱을 이용하여 좀 더 간단하게 표현할 수 있다.

- 실제로 연산을 할때 x1, x2, x3 의 각 데이터(instance) 값은 여러개가 존재한다.
- 이 경우 아래와 같이 구하면 전체를 Matrix를 이용하여 원하는 값을 한번에 구할 수 있다.

Tensorflow 예제코드
x_data = [
[73., 80., 75.],
[93., 88., 93.],
[89., 91., 90.],
[96., 98., 100.],
[73., 66., 70.],
]
y_data = [[152.], [185.], [180.], [196.], [142.]]
X = tf.placeholder(tf.float32, shape=[None, 3])
Y = tf.placeholder(tf.float32, shape=[None, 1])
W = tf.Variable(tf.random_normal([3,1]), name='weight')
b = tf.Variable(tf.random_normal([1]), name='bias')
hypotheis = tf.matmul(X,W) + b
cost = tf.reduce_mean(tf.square(hypotheis - Y))
optimizer = tf.train.GradientDescentOptimizer(learning_rate = 1e-5)
train = optimizer.minimize(cost)
sess = tf.Session()
sess.run(tf.global_variables_initializer())
for step in range(2001) :
cost_val, W_val, b_val, _ = sess.run([cost, W, b, train], feed_dict={X:x_data, Y:y_data})
if step % 20 == 0 :
print(step, cost_val, W_val, b_val)'AI > Tensorflow' 카테고리의 다른 글
| TensorFlow로 파일에서 데이터 읽어오기 (0) | 2021.03.05 |
|---|---|
| Linear Regression의 cost 최소화 원리 (0) | 2021.02.23 |
| Linear Regression (0) | 2021.02.23 |
| 머신 러닝 기본 (0) | 2021.02.23 |
| k-인접이웃 분류모형 (0) | 2019.09.18 |